Для снабженцев
О компании
Доставка
Справочник
  • Марочник
  • Госты
  • Блог
Контакты
    +7 (800) 250-07-54
    +7 (800) 250-07-54 Бесплатно по России
    E-mail
    info@oboronspecsplav.ru
    Адрес
    Астрахань. 3-й проезд Рождественского, 3с3
    Режим работы
    Пн - Пт: с 9:00 до 18:00
    info@oboronspecsplav.ru
    ОБОРОНСПЕЦСПЛАВ
    0 Сравнение
    0 Избранное
    0 Корзина
    0 Сравнение
    0 Избранное
    0 Корзина
    ОборонСпецСплав
    Телефоны
    +7 (800) 250-07-54 Бесплатно по России
    E-mail
    info@oboronspecsplav.ru
    Адрес
    Астрахань. 3-й проезд Рождественского, 3с3
    Режим работы
    Пн - Пт: с 9:00 до 18:00
    0
    0
    0
      • Астрахань
    • 0 Сравнение
    • 0 Избранное
    • 0 Корзина
    • Бренды
    • Марочник
    • Компания
      • Компания
      • О компании
      • Сотрудники
      • Отзывы
      • Карьера
      • Документы
    • Блог
    • Контакты
    +7 (800) 250-07-54 Бесплатно по России
    • Телефоны
    • +7 (800) 250-07-54 Бесплатно по России
    • info@oboronspecsplav.ru
    • Астрахань. 3-й проезд Рождественского, 3с3
    • Пн - Пт: с 9:00 до 18:00
    Главная
    Марочник
    Сталь
    Конструкционная сталь
    Сталь 40Х

    • Сталь
    • Алюминий
    • Титан
    • Бронза
    • Чугун
    • Цинк
    • Латунь
    • Никель
    • Свинец
    • Олово
    • Импортные марки


    Общая характеристика стали 40Х

    Сталь марки 40Х относится к конструкционным легированным среднеуглеродистым хромистым сталям. Этот сплав обладает высокой прочностью, твёрдостью и отличной износостойкостью, однако характеризуется ограниченной пластичностью и повышенной хрупкостью. Благодаря наличию хрома, сталь демонстрирует хорошую коррозионную устойчивость, что позволяет использовать её в агрессивных средах.

    Особенностью стали 40Х является склонность к образованию флокенов (дефектов структуры, которые возникают вследствие наличия водорода и углерода), что может привести к разрывам при обработке и эксплуатации изделий.

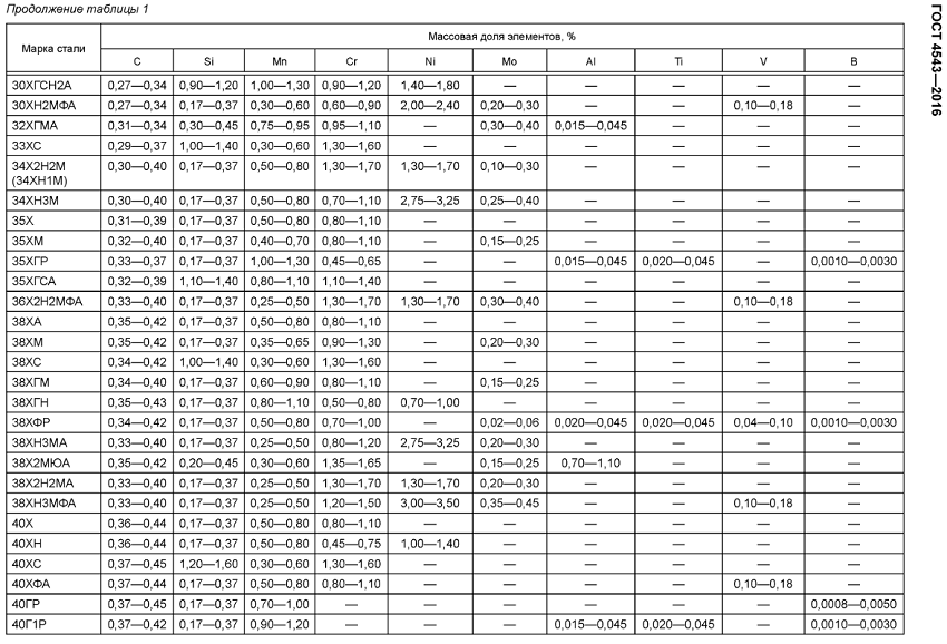
    Химический состав стали 40Х (ГОСТ 4543-2016)

    • Углерод (C): 0,36–0,44%
    • Кремний (Si): 0,17–0,37%
    • Марганец (Mn): 0,5–0,8%
    • Хром (Cr): 0,8–1,1%
    • Сера (S), Фосфор (P), Никель (Ni), Медь (Cu): не более 0,035%
    • Остальное: железо (Fe)

    Расшифровка маркировки «40Х»: цифра 40 обозначает среднее содержание углерода около 0,40%, а буква «Х» указывает на наличие хрома в составе.

    Технологические особенности стали 40Х

    Сплав 40Х характеризуется трудной свариваемостью, однако может быть сварен с помощью следующих способов:

    • Электрошлаковая сварка (ЭШС)
    • Ручная дуговая сварка (РДС)
    • Контактная точечная сварка (КТС)

    При сварке необходим предварительный нагрев и последующая термообработка для предотвращения образования хрупких структур и трещин.

    Режимы термообработки стали 40Х

    • Отжиг: 820–840 °С с медленным охлаждением в печи.
    • Нормализация: 850–870 °С с охлаждением на воздухе.
    • Закалка: 840–875 °С в масле или воде с последующим отпуском при 450–650 °С.

    Механические свойства стали 40Х

    • Предел текучести (σT): 620–785 МПа
    • Временное сопротивление разрыву (σB): 980 МПа
    • Относительное удлинение (δ5): до 10–14%
    • Относительное сужение (ψ): около 45%
    • Ударная вязкость (KCU): до 163 кДж/м²
    • Твердость (HB): 179–269 МПа (в зависимости от способа обработки)

    Физические свойства стали 40Х

    • Плотность: 7820 кг/м³
    • Модуль упругости: 2,03–2,14×10⁵ МПа
    • Коэффициент линейного расширения: 11,9–14,6×10⁻⁶ 1/°C
    • Коэффициент теплопроводности: 26–46 Вт/(м·°C)
    • Удельная теплоёмкость: 466–664 Дж/(кг·°C)

    Сферы применения стали 40Х

    Основными направлениями применения стали 40Х являются:

    • Машиностроение: изготовление высокопрочных деталей (валы, оси, плунжеры, шестерни, коленчатые и кулачковые валы, шпиндели, полуоси, болты, втулки и другие элементы).
    • Турбиностроение: производство валов, роторов и дисков паровых турбин.
    • Строительство: прочные металлоконструкции, которые эксплуатируются при низких температурах и подвергаются коррозионному воздействию.

    Отечественные и зарубежные аналоги стали 40Х

    Отечественные аналоги: 38ХА, 40ХН, 40ХР, 40ХС, 40ХФ, 45Х.

    Зарубежные аналоги представлены в стандартах:

    • Германия (DIN): 37Cr4, 41Cr4, 1.7034, 1.7035, 1.7045
    • США (AISI): 5135, 5140
    • Япония (JIS): SCr435, SCr440
    • Китай (GB): 40Cr, 45Cr

    Формы поставки стали 40Х

    • Круг стальной: используется для изготовления валов и осей.
    • Квадрат стальной: применим в производстве деталей высокой коррозионной стойкости.
    • Лист стальной: используется для изготовления корпусов машин, деталей оборудования.
    • Полоса стальная: применяется в машиностроении и для производства крепежного инструмента.
    • Трубы: востребованы в турбиностроении и энергетике.

    Заключение

    Сталь марки 40Х является универсальным конструкционным материалом, востребованным благодаря своей прочности, коррозионной стойкости и высоким эксплуатационным характеристикам. Несмотря на трудности сварки и склонность к образованию флокенов, правильное соблюдение технологических режимов позволяет широко использовать её в ответственных отраслях машино- и приборостроения, а также в строительстве сложных инженерных конструкций.

    Скачать ГОСТ ГОСТ 4543-2016

    Товары марки Сталь 40Х
    Товар
    Гост
    Толщина
    Марка
    Цена


    Каталог
    Акции
    Бренды
    Блог
    Условия оплаты
    Условия доставки
    Контакты
    Гарантия на товар
    Реквизиты компании
    Подписаться
    на новости и акции
    Связаться с нами
    +7 (800) 250-07-54
    +7 (800) 250-07-54 Бесплатно по России
    E-mail
    info@oboronspecsplav.ru
    Адрес
    Астрахань. 3-й проезд Рождественского, 3с3
    Режим работы
    Пн - Пт: с 9:00 до 18:00
    info@oboronspecsplav.ru
    Астрахань. 3-й проезд Рождественского, 3с3
    Конфиденциальность
    Оферта
    © 2026 ОборонСпецСплав

    На информационном ресурсе применяются рекомендательные технологии.

    Все ресурсы сайта astrahan.oboronspecsplav.ru, включая (но не ограничиваясь) текстовую, графическую, фотографическую и видео информацию, структуру, дизайн и оформление страниц, доменное имя, фирменное наименование являются объектами авторского права и прав на интеллектуальную собственность, защищены российским законодательством и международными соглашениями об охране авторских прав. Запрещается любое использование содержания страниц и контента данного сайта на других площадках без предварительного согласия правообладателя. Запрещаются любые иные действия, в результате которых у пользователей Интернета может сложиться впечатление, что представленные материалы не имеют отношения к astrahan.oboronspecsplav.ru.

    Главная Каталог 0 Корзина Акции Контакты Компания Услуги Бренды Отзывы Реквизиты Блог 0 Сравнение 0 Избранные
    ОборонСпецСплав
    • Черный металлопрокат
      • Арматура
        • Арматура А3 рифленая
        • Арматура А1 гладкая
        • Арматура А500С
        • Арматура А240
        • Арматура 25Г2С
        • Арматура 35ГС
      • Труба профильная
        • Труба профильная прямоугольная
        • Труба профильная квадратная
      • Трубы круглые
        • Труба 09Г2С
        • Труба электросварная
        • Труба бесшовная
          • Труба 09Г2С бесшовная горячедеформированная
          • Труба 09Г2С бесшовная холоднодеформированная ГОСТ 8734-75
          • Труба бесшовная ГОСТ 8732-78, ГОСТ 8731-74
          • Труба бесшовная ГОСТ 8733-74, ГОСТ 8734-75
        • Труба ВГП
          • Труба ВГП ГОСТ 3262-75
        • Трубы ППУ, ВУС
        • Трубы электросварные оцинкованные
      • Лист стальной
        • Лист стальной горячекатаный
        • Лист стальной холоднокатаный
        • Оцинкованные листы
        • Листы ПВЛ (просечно-вытяжные)
        • Лист рифленый (ромб, чечевица)
      • Балка двутавровая
        • Балка двутавровая 09Г2С, С345, С355
        • Балка двутавровая С255, ст3сп5
      • Уголок стальной
        • Уголок равнополочный
        • Уголок неравнополочный
        • Уголок гнутый
        • Уголок оцинкованный
      • Сетка стальная
        • Сетка сварная
        • Сетка рабица
      • Швеллер
        • Швеллер 09Г2С/С355/С345
        • Швеллер горячекатаный ст3сп/пс5
        • Швеллер гнутый
      • Квадрат стальной
      • Полоса стальная
      • Проволока
      • Круг стальной
        • Круг горячекатанный
        • Круг калиброванный
        • Круг конструкционный
      • Шестигранник стальной
      • Детали трубопровода
        • Отводы стальные
        • Тройники стальные
      • Судовая сталь
        • Лист судовой горячекатаный
        • Полособульб
      • Котловая сталь
      • Мостовая сталь
      • Чугун
        • Круг чугунный с пластинчатым графитом
        • Чугун антифрикционный
        • Чугун высоколегированный
        • Чугун высоконикелевый
        • Чугун низколегированный
        • Чугунная чушка
        • Чугунные трубы
        • Чугунный лист
      Северсталь | Партнёры ОборонСпецСплав
      Евраз | Партнёры ОборонСпецСплав
      НЛМК | Партнёры ОборонСпецСплав
      ММК | Партнёры ОборонСпецСплав
      Мечел | Партнёры ОборонСпецСплав
      Королевский трубный завод | Партнёры ОборонСпецСплав
      НТЗ ТЭМ-ПО | Партнёры ОборонСпецСплав
      Загорский трубный завод | Партнёры ОборонСпецСплав
      Объединенная металлургическая компания | Партнёры ОборонСпецСплав
      Трубная Металлургическая Компания | Партнёры ОборонСпецСплав
      Ашинский МЗ | Партнёры ОборонСпецСплав
    • Специальные стали и сплавы
      • Быстрорежущая сталь
        • Брусок из быстрорежущей стали
        • Квадрат быстрорез
        • Круг быстрорежущий
        • Лист быстрорез
        • Полоса быстрорез
        • Проволока быстрорез
        • Труба из быстрорежущей
      • Жаропрочные стали
        • Жаропрочная лента
        • Жаропрочная поковка
        • Жаропрочная полоса
        • Жаропрочная проволока
        • Жаропрочная труба
        • Жаропрочные круги
        • Жаропрочные листы
        • Жаропрочный квадрат
        • Жаропрочный шестигранник
      • Инструментальные стали
        • Квадрат инструментальный
        • Круг инструментальный
        • Лента инструментальная
        • Лист инструментальный
        • Плита инструментальная
        • Поковка инструментальная
        • Полоса инструментальная
        • Проволока из инструментальной стали
        • Труба инструментальная
      • Конструкционные стали
        • Лист конструкционный
        • Круг конструкционный
        • Квадрат конструкционный
        • Труба конструкционная
        • Шестигранник конструкционный
        • Уголок конструкционный
        • Лента конструкционная
        • Плита конструкционная
        • Полоса конструкционная
        • Проволока конструкционная
      • Подшипниковая сталь
        • Подшипниковая полоса
        • Подшипниковые трубы
        • Подшипниковый квадрат
        • Подшипниковый круг
        • Подшипниковый шестигранник
      • Рессорно-пружинные стали
        • Рессорно-пружинная плита
        • Рессорно-пружинная полоса
        • Рессорно-пружинный квадрат
        • Рессорно-пружинный круг
        • Рессорно-пружинный лист
        • Рессорно-пружинный шестигранник
        • Трубы из рессорно-пружинной стали
      • Штамповая сталь
        • Штамповая полоса
        • Штамповой квадрат
        • Штамповой круг
        • Штамповые трубы
      Северсталь | Партнёры ОборонСпецСплав
      Евраз | Партнёры ОборонСпецСплав
      НЛМК | Партнёры ОборонСпецСплав
      ММК | Партнёры ОборонСпецСплав
      Мечел | Партнёры ОборонСпецСплав
      Королевский трубный завод | Партнёры ОборонСпецСплав
      НТЗ ТЭМ-ПО | Партнёры ОборонСпецСплав
      Загорский трубный завод | Партнёры ОборонСпецСплав
      Объединенная металлургическая компания | Партнёры ОборонСпецСплав
      Трубная Металлургическая Компания | Партнёры ОборонСпецСплав
      Ашинский МЗ | Партнёры ОборонСпецСплав
    • Нержавеющая сталь
      • Труба нержавеющая
      • Труба профильная нержавеющая
      • Лист нержавейки
      • Нержавеющий круг
      • Нержавеющая проволока
      • Нержавеющая сетка
      • Нержавеющий квадрат
      • Нержавеющий швеллер
      • Нержавеющий шестигранник
      • Уголок нержавеющий
      • Нержавеющая лента
      • Нержавеющая плита
      • Нержавеющая полоса
      • Нержавеющая просечно-вытяжная сетка
      Северсталь | Партнёры ОборонСпецСплав
      Евраз | Партнёры ОборонСпецСплав
      НЛМК | Партнёры ОборонСпецСплав
      ММК | Партнёры ОборонСпецСплав
      Мечел | Партнёры ОборонСпецСплав
      Королевский трубный завод | Партнёры ОборонСпецСплав
      НТЗ ТЭМ-ПО | Партнёры ОборонСпецСплав
      Загорский трубный завод | Партнёры ОборонСпецСплав
      Объединенная металлургическая компания | Партнёры ОборонСпецСплав
      Трубная Металлургическая Компания | Партнёры ОборонСпецСплав
      Ашинский МЗ | Партнёры ОборонСпецСплав
    • Электротехническая сталь
      • Электротехнический круг
      • Электротехнический лист
      • Электротехническая лента
      • Электротехническая полоса
      • Электротехнический квадрат
      Северсталь | Партнёры ОборонСпецСплав
      Евраз | Партнёры ОборонСпецСплав
      НЛМК | Партнёры ОборонСпецСплав
      ММК | Партнёры ОборонСпецСплав
      Мечел | Партнёры ОборонСпецСплав
      Королевский трубный завод | Партнёры ОборонСпецСплав
      НТЗ ТЭМ-ПО | Партнёры ОборонСпецСплав
      Загорский трубный завод | Партнёры ОборонСпецСплав
      Объединенная металлургическая компания | Партнёры ОборонСпецСплав
      Трубная Металлургическая Компания | Партнёры ОборонСпецСплав
      Ашинский МЗ | Партнёры ОборонСпецСплав
    • Прецизионные сплавы
      • Прецизионная труба
      • Прецизионный квадрат
      • Прецизионный круг
      • Прецизионный лист
      • Прецизионная плита
      • Прецизионная поковка
      • Прецизионная полоса
      • Проволока из прецизионных сплавов
      Северсталь | Партнёры ОборонСпецСплав
      Евраз | Партнёры ОборонСпецСплав
      НЛМК | Партнёры ОборонСпецСплав
      ММК | Партнёры ОборонСпецСплав
      Мечел | Партнёры ОборонСпецСплав
      Королевский трубный завод | Партнёры ОборонСпецСплав
      НТЗ ТЭМ-ПО | Партнёры ОборонСпецСплав
      Загорский трубный завод | Партнёры ОборонСпецСплав
      Объединенная металлургическая компания | Партнёры ОборонСпецСплав
      Трубная Металлургическая Компания | Партнёры ОборонСпецСплав
      Ашинский МЗ | Партнёры ОборонСпецСплав
    • Жаропрочные сплавы
      • Квадрат из жаропрочного сплава
      • Круг из жаропрочного сплава
      • Лента из жаропрочного сплава
      • Лист из жаропрочного сплава
      • Плита из жаропрочного сплава
      • Полоса из жаропрочного сплава
      • Проволока из жаропрочного сплава
      • Труба из жаропрочного сплава
      Северсталь | Партнёры ОборонСпецСплав
      Евраз | Партнёры ОборонСпецСплав
      НЛМК | Партнёры ОборонСпецСплав
      ММК | Партнёры ОборонСпецСплав
      Мечел | Партнёры ОборонСпецСплав
      Королевский трубный завод | Партнёры ОборонСпецСплав
      НТЗ ТЭМ-ПО | Партнёры ОборонСпецСплав
      Загорский трубный завод | Партнёры ОборонСпецСплав
      Объединенная металлургическая компания | Партнёры ОборонСпецСплав
      Трубная Металлургическая Компания | Партнёры ОборонСпецСплав
      Ашинский МЗ | Партнёры ОборонСпецСплав
    • Алюминий
      • Алюминиевая квадратная труба
      • Алюминиевая профильная труба
      • Алюминиевая труба
      • Алюминиевая труба прямоугольная
      • Круг алюминиевый
      • Лист алюминиевый
      • Труба алюминиевая холоднодеформируемая
      • Труба алюминиевая электросварная
      • Алюминиевая лента
      • Алюминиевая плита
      • Алюминиевый перфорированный лист
      • Алюминиевый шестигранник
      • Квадрат алюминиевый
      • Лист алюминиевый ПВЛ
      • Рифленый алюминиевый лист
      • Уголок алюминиевый
      • Авиационный алюминий
      • Алюминиевая катанка
      • Алюминиевая полоса
      • Алюминиевая проволока
      • Алюминиевая сетка
      • Алюминиевая фольга
      • Алюминиевый швеллер
      • Двутавр алюминиевый
      • Тавр алюминиевый
      • Алюминий АМг6
      • Алюминий Д16
      Северсталь | Партнёры ОборонСпецСплав
      Евраз | Партнёры ОборонСпецСплав
      НЛМК | Партнёры ОборонСпецСплав
      ММК | Партнёры ОборонСпецСплав
      Мечел | Партнёры ОборонСпецСплав
      Королевский трубный завод | Партнёры ОборонСпецСплав
      НТЗ ТЭМ-ПО | Партнёры ОборонСпецСплав
      Загорский трубный завод | Партнёры ОборонСпецСплав
      Объединенная металлургическая компания | Партнёры ОборонСпецСплав
      Трубная Металлургическая Компания | Партнёры ОборонСпецСплав
      Ашинский МЗ | Партнёры ОборонСпецСплав
    • Медь
      • Медный круг
      • Медный лист
      • Труба медная
        • Волноводная медная труба
        • Дюймовая медная труба
        • Медная бесшовная труба
        • Медная гофрированная труба
        • Медная капиллярная трубка
        • Медная оребренная труба
        • Медная профильная труба
        • Труба медная для кондиционеров
        • Труба медная для отопления
        • Труба медная квадратная
        • Труба медная круглая
        • Труба медная неотожженная
        • Труба медная отожженная
        • Труба медная прямоугольная
        • Труба медная тянутая
        • Труба медная холодильная
        • Труба медная холоднокатаная
        • Труба медная хромированная
        • Трубка медная
      • Квадрат медный
      • Медная полоса
      • Медная проволока
      • Медная сетка
      • Шестигранник медный
      • Катанка медная
      • Медная лента
      • Медная плита
      • Медная фольга
      • Медная чушка
      • Медная шина
      • Медный пруток
      Северсталь | Партнёры ОборонСпецСплав
      Евраз | Партнёры ОборонСпецСплав
      НЛМК | Партнёры ОборонСпецСплав
      ММК | Партнёры ОборонСпецСплав
      Мечел | Партнёры ОборонСпецСплав
      Королевский трубный завод | Партнёры ОборонСпецСплав
      НТЗ ТЭМ-ПО | Партнёры ОборонСпецСплав
      Загорский трубный завод | Партнёры ОборонСпецСплав
      Объединенная металлургическая компания | Партнёры ОборонСпецСплав
      Трубная Металлургическая Компания | Партнёры ОборонСпецСплав
      Ашинский МЗ | Партнёры ОборонСпецСплав
    • Титан
      • Титановый круг
      • Титановый лист
      • Титановый пруток
      • Титановый шестигранник
      • Титановый квадрат
      • Титановая труба
      • Титановая сетка
      • Титановая проволока
      • Титановая полоса
      • Титановая плита
      • Титановая лента
      • Титановый профиль
      • Шина титановая
      Северсталь | Партнёры ОборонСпецСплав
      Евраз | Партнёры ОборонСпецСплав
      НЛМК | Партнёры ОборонСпецСплав
      ММК | Партнёры ОборонСпецСплав
      Мечел | Партнёры ОборонСпецСплав
      Королевский трубный завод | Партнёры ОборонСпецСплав
      НТЗ ТЭМ-ПО | Партнёры ОборонСпецСплав
      Загорский трубный завод | Партнёры ОборонСпецСплав
      Объединенная металлургическая компания | Партнёры ОборонСпецСплав
      Трубная Металлургическая Компания | Партнёры ОборонСпецСплав
      Ашинский МЗ | Партнёры ОборонСпецСплав
    • Бронза
      • Бронзовая полоса
      • Бронзовая профильная труба
      • Бронзовая труба
      • Бронзовый квадрат
      • Бронзовый круг
      • Бронзовый лист
      • БрАЖ9-4
      • Бронзовая лента
      • Бронзовая плита
      • Бронзовая проволока
      • Бронзовая сетка
      • Бронзовая чушка
      • Бронзовая шина
      • Бронзовый пруток
      • Бронзовый шестигранник
      Северсталь | Партнёры ОборонСпецСплав
      Евраз | Партнёры ОборонСпецСплав
      НЛМК | Партнёры ОборонСпецСплав
      ММК | Партнёры ОборонСпецСплав
      Мечел | Партнёры ОборонСпецСплав
      Королевский трубный завод | Партнёры ОборонСпецСплав
      НТЗ ТЭМ-ПО | Партнёры ОборонСпецСплав
      Загорский трубный завод | Партнёры ОборонСпецСплав
      Объединенная металлургическая компания | Партнёры ОборонСпецСплав
      Трубная Металлургическая Компания | Партнёры ОборонСпецСплав
      Ашинский МЗ | Партнёры ОборонСпецСплав
    • Дюралюминий
      • Дюралевая труба
      • Дюралевая труба профильная
      • Дюралевый круг
      • Дюралевый лист
      • Дюралевая лента
      • Дюралевая плита
      • Дюралевая полоса
      • Дюралевая проволока
      • Дюралевый квадрат
      • Дюралевый рифленый лист
      • Дюралевый уголок
      • Дюралевый шестигранник
      • Швеллер дюралевый
      Северсталь | Партнёры ОборонСпецСплав
      Евраз | Партнёры ОборонСпецСплав
      НЛМК | Партнёры ОборонСпецСплав
      ММК | Партнёры ОборонСпецСплав
      Мечел | Партнёры ОборонСпецСплав
      Королевский трубный завод | Партнёры ОборонСпецСплав
      НТЗ ТЭМ-ПО | Партнёры ОборонСпецСплав
      Загорский трубный завод | Партнёры ОборонСпецСплав
      Объединенная металлургическая компания | Партнёры ОборонСпецСплав
      Трубная Металлургическая Компания | Партнёры ОборонСпецСплав
      Ашинский МЗ | Партнёры ОборонСпецСплав
    • Латунь
      • Латунная труба
      • Латунные листы
      • Латунный квадрат
      • Латунный круг
      • Труба латунная профильная
      • Уголок латунный
      • Катанка латунная
      • Латунная лента
      • Латунная пластина
      • Латунная плита
      • Латунная полоса
      • Латунная проволока
      • Латунная сетка
      • Латунный пруток
      • Латунный шестигранник
      • Проволока латунная сварочная
      Северсталь | Партнёры ОборонСпецСплав
      Евраз | Партнёры ОборонСпецСплав
      НЛМК | Партнёры ОборонСпецСплав
      ММК | Партнёры ОборонСпецСплав
      Мечел | Партнёры ОборонСпецСплав
      Королевский трубный завод | Партнёры ОборонСпецСплав
      НТЗ ТЭМ-ПО | Партнёры ОборонСпецСплав
      Загорский трубный завод | Партнёры ОборонСпецСплав
      Объединенная металлургическая компания | Партнёры ОборонСпецСплав
      Трубная Металлургическая Компания | Партнёры ОборонСпецСплав
      Ашинский МЗ | Партнёры ОборонСпецСплав
    • Свинец
      • Свинцовая труба
      • Свинцовый круг
      • Свинцовый лист
      • Проволока свинцовая
      • Свинцовый баббит
      • Свинцовый пруток
      Северсталь | Партнёры ОборонСпецСплав
      Евраз | Партнёры ОборонСпецСплав
      НЛМК | Партнёры ОборонСпецСплав
      ММК | Партнёры ОборонСпецСплав
      Мечел | Партнёры ОборонСпецСплав
      Королевский трубный завод | Партнёры ОборонСпецСплав
      НТЗ ТЭМ-ПО | Партнёры ОборонСпецСплав
      Загорский трубный завод | Партнёры ОборонСпецСплав
      Объединенная металлургическая компания | Партнёры ОборонСпецСплав
      Трубная Металлургическая Компания | Партнёры ОборонСпецСплав
      Ашинский МЗ | Партнёры ОборонСпецСплав
    • Цинк
      • Цинковая лента
      • Цинковая полоса
      • Цинковый круг
      • Цинковый лист
      • Цинковый пруток
      Северсталь | Партнёры ОборонСпецСплав
      Евраз | Партнёры ОборонСпецСплав
      НЛМК | Партнёры ОборонСпецСплав
      ММК | Партнёры ОборонСпецСплав
      Мечел | Партнёры ОборонСпецСплав
      Королевский трубный завод | Партнёры ОборонСпецСплав
      НТЗ ТЭМ-ПО | Партнёры ОборонСпецСплав
      Загорский трубный завод | Партнёры ОборонСпецСплав
      Объединенная металлургическая компания | Партнёры ОборонСпецСплав
      Трубная Металлургическая Компания | Партнёры ОборонСпецСплав
      Ашинский МЗ | Партнёры ОборонСпецСплав
    • Никель
      • Никелевая полоса
      • Никелевая труба
      • Никелевый круг
      • Никелевый лист
      • Баббит из никеля
      • Никелевая лента
      • Никелевая пластина
      • Никелевая проволока
      • Никелевая сетка
      • Никелевый пруток
      Северсталь | Партнёры ОборонСпецСплав
      Евраз | Партнёры ОборонСпецСплав
      НЛМК | Партнёры ОборонСпецСплав
      ММК | Партнёры ОборонСпецСплав
      Мечел | Партнёры ОборонСпецСплав
      Королевский трубный завод | Партнёры ОборонСпецСплав
      НТЗ ТЭМ-ПО | Партнёры ОборонСпецСплав
      Загорский трубный завод | Партнёры ОборонСпецСплав
      Объединенная металлургическая компания | Партнёры ОборонСпецСплав
      Трубная Металлургическая Компания | Партнёры ОборонСпецСплав
      Ашинский МЗ | Партнёры ОборонСпецСплав
    • Олово
      • Круг оловянный
      • Оловянный баббит
      • Оловянный лист
      • Оловянный пруток
      • Проволока оловянная
      Северсталь | Партнёры ОборонСпецСплав
      Евраз | Партнёры ОборонСпецСплав
      НЛМК | Партнёры ОборонСпецСплав
      ММК | Партнёры ОборонСпецСплав
      Мечел | Партнёры ОборонСпецСплав
      Королевский трубный завод | Партнёры ОборонСпецСплав
      НТЗ ТЭМ-ПО | Партнёры ОборонСпецСплав
      Загорский трубный завод | Партнёры ОборонСпецСплав
      Объединенная металлургическая компания | Партнёры ОборонСпецСплав
      Трубная Металлургическая Компания | Партнёры ОборонСпецСплав
      Ашинский МЗ | Партнёры ОборонСпецСплав
    • Никелевые сплавы
      • Алюмель
        • Алюмель лента
        • Алюмель лист
        • Алюмель полоса
        • Алюмель проволока
        • Алюмель пруток
        • Алюмель труба
      • Инконель
        • Круг инконель
        • Лента инконель
        • Лист инконель
        • Проволока инконель
        • Пруток инконель
        • Труба инконель
      • Константан
        • Константан лента
        • Константан лист
        • Константан полоса
        • Константан проволока
        • Константан пруток
        • Константан труба
      • Копель
        • Копель лента
        • Копель лист
        • Копель полоса
        • Копель проволока
        • Копель пруток
        • Копель труба
      • Куниаль
        • Куниаль лента
        • Куниаль лист
        • Куниаль полосы
        • Куниаль прутки
      • Манганин
      • Медно-никелевые сплавы
        • Медно-никелевая лента
        • Медно-никелевая полоса
        • Медно-никелевая проволока
        • Медно-никелевая стружка
        • Медно-никелевая труба
        • Медно-никелевый круг
        • Медно-никелевый лист
        • Медно-никелевый лист перфорированный
        • Медно-никелевый пруток
      • Мельхиор
        • Лента мельхиор
        • Мельхиор лист
        • Мельхиор полосы
        • Мельхиор пруток
        • Мельхиоровая проволока
        • Мельхиоровая труба
      • Монель
        • Лента Монель
        • Лист монель
        • Монелевая труба
        • Монелевый круг (пруток)
        • Полоса монель
        • Проволока монель
        • Пруток монель
      • Нейзильбер
      • Нитиноловая проволока
      • Нихром
        • Лента нихромовая
        • Нихромовая проволока
        • Нихромовые трубы
        • Нихромовый круг
        • Нихромовый пруток
        • Сетка нихромовая
      • Платинитовая проволока
      • Хастеллой
        • Лист хастеллой
        • Проволока хастеллой
        • Пруток хастеллой
        • Труба хастеллой
      • Хромель
        • Хромель лента
        • Хромель лист
        • Хромель полоса
        • Хромель проволока
        • Хромель пруток
        • Хромель труба
      Северсталь | Партнёры ОборонСпецСплав
      Евраз | Партнёры ОборонСпецСплав
      НЛМК | Партнёры ОборонСпецСплав
      ММК | Партнёры ОборонСпецСплав
      Мечел | Партнёры ОборонСпецСплав
      Королевский трубный завод | Партнёры ОборонСпецСплав
      НТЗ ТЭМ-ПО | Партнёры ОборонСпецСплав
      Загорский трубный завод | Партнёры ОборонСпецСплав
      Объединенная металлургическая компания | Партнёры ОборонСпецСплав
      Трубная Металлургическая Компания | Партнёры ОборонСпецСплав
      Ашинский МЗ | Партнёры ОборонСпецСплав
    • Цирконий
      • Лист цирконий
      • Полоса цирконий
      • Проволока цирконий
      • Пруток цирконий
      • Труба цирконий
      Северсталь | Партнёры ОборонСпецСплав
      Евраз | Партнёры ОборонСпецСплав
      НЛМК | Партнёры ОборонСпецСплав
      ММК | Партнёры ОборонСпецСплав
      Мечел | Партнёры ОборонСпецСплав
      Королевский трубный завод | Партнёры ОборонСпецСплав
      НТЗ ТЭМ-ПО | Партнёры ОборонСпецСплав
      Загорский трубный завод | Партнёры ОборонСпецСплав
      Объединенная металлургическая компания | Партнёры ОборонСпецСплав
      Трубная Металлургическая Компания | Партнёры ОборонСпецСплав
      Ашинский МЗ | Партнёры ОборонСпецСплав
    • Сварочные материалы
      • Припой
      • Проволока сварочная высоколегированная
      • Проволока сварочная легированная
      • Проволока сварочная низкоуглеродистая
      • Сварочная проволока
      • Флюс
      • Электрод сварочный
      Северсталь | Партнёры ОборонСпецСплав
      Евраз | Партнёры ОборонСпецСплав
      НЛМК | Партнёры ОборонСпецСплав
      ММК | Партнёры ОборонСпецСплав
      Мечел | Партнёры ОборонСпецСплав
      Королевский трубный завод | Партнёры ОборонСпецСплав
      НТЗ ТЭМ-ПО | Партнёры ОборонСпецСплав
      Загорский трубный завод | Партнёры ОборонСпецСплав
      Объединенная металлургическая компания | Партнёры ОборонСпецСплав
      Трубная Металлургическая Компания | Партнёры ОборонСпецСплав
      Ашинский МЗ | Партнёры ОборонСпецСплав